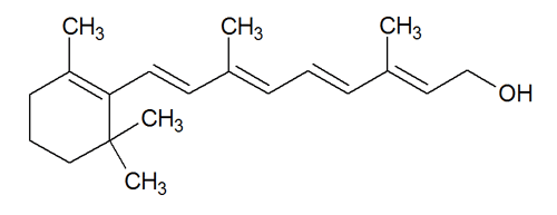
La vitamine A est une vitamine liposoluble. Dans l'organisme, elle existe sous forme de rétinol, de rétinal, d'acide rétinoïque (trétinoïne) et de phosphate de rétinyle. Ces molécules sont altérées par l'oxygène de l'air, altérations accélérées par la lumière et la chaleur. Les aliments d'origine animale (viandes, produits laitiers et surtout foie) contiennent du rétinol et des esters de rétinol alors que les végétaux contiennent essentiellement des carotènes qui sont des précurseurs du rétinol. Une molécule de bêta-carotène, par hydrolyse de la liaison 15-15′ sous l'influence d'un caroténoïde mono-oxygénase (β-carotène 15,15′ mono-oxygénase), donne deux molécules de vitamine A. Par contre, les deux autres carotènes (alpha et gamma) ne donnent naissance qu'à une seule molécule de vitamine A. Les besoins quotidiens en vitamine A pour un adulte sont estimés à (femme, femme enceinte exceptée) ou à (homme) soit de environ. Une unité internationale de vitamine A correspond à de rétinol. Le rétinol est considéré comme l'unité de base, le rétinol-équivalent, ce qui permet de comparer l'activité vitaminique des différents dérivés de la vitamine A. La vitamine A est impliquée dans la croissance des os et la synthèse de pigments de l'œil. Le rétinol est parfois utilisé dans le traitement des acnés sévères. Un sévère déficit en vitamine A peut provoquer une cécité ; il se manifeste par une peau pâle et sèche. Si elle est prolongée, la carence en vitamine A peut être mortelle, tout comme une surdose : le foie de certains animaux, comme celui de l'ours polaire, peut contenir une dose de vitamine A potentiellement toxique pour un être humain. La vitamine A est une vitamine importante pour la vision. Grâce à ses différentes formes (rétinol/rétinal all-trans/9-cis/11-cis ; correspondantes à une isomérie de la chaîne isoprénique) aussi appelés vitamères, elle intervient pour former une photopile dans les cellules nerveuses de l'œil : les bâtonnets. Avec l'opsine, le rétinal 11-cis forme la rhodopsine où l'atome d'oxygène est remplacé par un azote protoné lié au reste de la protéine.